Carbon - Model Options (Building)

Carbon tab on Model Options dialog

LCA

LCA time of study

Enter the number of years over which the optimisation LCA (Simple) optimisation KPI should be calculated. Note that this setting does not affect One Click LCA outputs or any of the embodied carbon outputs on the Cost and Carbon screen.

Glazing Carbon Model

Glazing CO2 embodied carbon emissions

Enter the carbon emissions for glazing as kgCO2 per kg of glass. This value will be used for all glazing in the model in the embodied carbon emissions calculations.

Note: When calculating the embodied CO2 per area of glazing, DesignBuilder uses the standard glass density value of 2,500 kg/m3 along with the total thickness of the glass layers selected for the Glazing component.

Glazing coating embodied CO2

Enter the carbon emissions for glazing coatings (kgCO2/m2 or lb/m2) of coated glass. This value will be used for all glazing in the model in the embodied carbon emissions calculations.

Note: This extra coating factor is currently only applied to low emissivity coatings. Assessment is based on assumptions built into DesignBuilder which compare the glazing U-value with that of a typical unit without Lo-e coating.

Renewables

PV Panels

The embodied carbon of all PV panels in the model can be defined here in kgCO2/m2 or lb/ft2.

One Click LCA

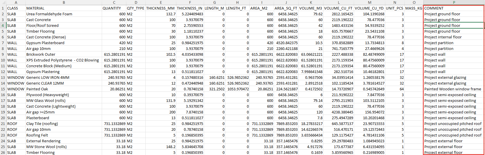
Correlate materials in report by construction

Check this check box if you wish the source construction to be included in the "Comments" column of the One Click LCA report, as shown below.

 

Note: When checking this option, the One-click LCA spreadsheet report will generally be much longer because it records each use of a material rather than simply summing the total. Although One Click LCA is able to import large data sets, you may wish to consider this when working with very large models.

See also the Program and Model Options tutorial