e Age of Air and Air Change Effectiveness

Age of Air (LMA)

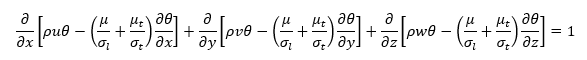
The Local Mean Age of Air (LMA) is the mean time taken for (assumed fresh) air molecules arriving within the domain to travel to the point of interest. The calculation of the local mean age-of-air in DesignBuilder CFD is made by solving an additional partial differential equation. The equation is derived from the contaminant concentration equation (a ‘passive scalar’ equation because it does not react with the velocity field). The assumption for the calculation of age-of-air is that the production of contaminants throughout the room is uniform:

 

 

Where:

 

θ = mean age of air

u, v and w = velocity components

ρ = density of air

μ and μt = physical and turbulent viscosities respectively

σl and σt = laminar and turbulent Schmidt numbers respectively

 

This equation uses the results from the velocity distribution as well as the distribution of turbulent viscosities throughout the domain. Because the distribution of theta does not affect the velocity field, the age-of-air calculations are conducted after the main simulation.

 

You can request age of air to be calculated on the CFD tab after the main CFD simulation has completed as a separate operation. To do this click on the Calculate LMA tool.

Local Air Change Effectiveness (ACE)

After completing the Local Mean Age of Air (LMA) calculation the Air Change Effectiveness (ACE) tool is available.

 

The ACE value is an indicator of how well a mechanical ventilation system performs in terms of the degree to which air entering a zone is mixed with air that is already contained within the occupied regions of the zone.

 

The air change effectiveness (ACE), is defined as the age of air that would occur throughout the room if the air was perfectly mixed, divided by the average age of air where occupants breathe. Because the average age of air exiting the room is identical to the age of air that would occur throughout the room if the indoor air were perfectly mixed, the ACE is also the exhaust-air age divided by the average age of air where occupants breathe. In practical terms, the ACE equals the effective ventilation rate at the breathing zone divided by the ventilation rate that would occur throughout the building with perfect mixing and at the same outdoor air supply. A short-circuiting flow pattern between the fresh air supply and return outlets, increases the room-air age and causes ACE to be less than unity. Perfect mixing results in an ACE of unity. Preferentially ventilating the breathing zone with outside air will cause the ACE to be greater than unity.

 

ASHRAE states that “One common definition of air change effectiveness is the ratio of a time constant to an age of air”. The equation used by DesignBuilder CFD for ACE is:

 

 

ACE compliance criteria refers to ASHRAE Standard 129. This standard describes a method for measuring ACE of mechanically ventilated spaces and buildings. The standard gives the following equation for the time constant

 

 

Where:

 

τN = nominal time constant

m = exhaust air stream index

Qex = exhaust air stream flow rate

Aex = age of air at exhaust