Contaminant Generation and Removal

Activity tab in model data

 

DesignBuilder offers 4 different ways to model contaminant generation and removal within each zone of the building. EnergyPlus allows only one type of contaminant to be modelled in a simulation (in addition to CO2 which is handled separately).

Note: The Simulate contaminant concentration site level option must be selected for any of the zone settings to take effect in the simulation and actually generate/remove contaminants.

Tip: The results of the contaminant simulation are not displayed in the built in results on the Simulation screen, but the zone air contaminant concentration for each zone can be viewed when using the Results Viewer.

Contaminant generation/removal

Check this checkbox if you would like to model contaminant generation and/or removal for the current zone. When this option is checked the rest of the data described below becomes available for editing.

Contaminant simulation method

The contaminant simulation methods available for selection are:

 

 

Different Contaminant simulation method settings can be made in each zone.

Constant

The 1-Constant option allows you to specify the generic contaminant generation rate and removal rate coefficient in the zone. The associated fraction schedules allow the magnitude of sources and sinks to vary with time. The object is equivalent to the combination of the constant coefficient model and the burst source model defined in the sources and sinks element types of CONTAM 3.0.

 

The basic equation used to calculate generic contaminant source and sink for the constant model is given below:

 

 

where:

 

Sf = Contaminant generic contaminant source strength [m3/s]

Gf = Generic contaminant generation rate [m3/s]

FG = Fraction value from the source fraction schedule at a given time [dimensionless]

Rf = Generic contaminant effective removal rate [m3/s]

FR = Fraction value from the sink fraction schedule at a given time [dimensionless]

Cf = Generic contaminant concentration value at a given previous time step [ppm]

Design generation rate

Enter the full contaminant design generation rate (in m3/s or ft3/min). The design generation rate is the maximum volume of generic contaminant expected at design conditions. The design value is modified by the schedule fraction in the Generation schedule described below for each timestep in the simulation.

Note: When only the mass generation rate is available, the rate must be converted to a volume flow rate. In this case, use the mass flow rate divided by the vapour density of the generic contaminant.

Generation schedule

Select the schedule that modifies the maximum design generation rate (Gf). This fraction between 0.0 and 1.0 is noted as FG in the above equation.

Design removal coefficient

This setting defines the full volumetric contaminant design removal coefficient (in m3/s or ft3/min). The design removal rate is the maximum amount of generic contaminant expected at design conditions times the generic contaminant concentration in the same zone. The design value is modified by the schedule fraction in the Removal schedule described below.

Removal schedule

Select the schedule that modifies the maximum design generation rate (Rf). This fraction between 0.0 and 1.0 is noted as FR in the above equation.

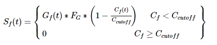
Cutoff Model

The 2-Cutoff model option allows the contaminant generation rate to be specified based on the cutoff concentration model. The basic equation used to calculate generic contaminant source for the pressure driven constant model is given below:

 

 

where:

 

Sf = Generic contaminant source strength [m3/s]

Gf = Generic contaminant generation rate [m3/s]

FG = Fraction value from the source fraction schedule at a given time [dimensionless]

Ccutoff = Cutoff concentration at which emission ceases [ppm]

Cf = Generic contaminant concentration value at a given previous time step [ppm]

Maximum generation rate

Enter the maximum contaminant design generation rate (in m3/s or ft3/min). The design generation rate is the maximum amount of generic contaminant expected at design conditions. The design value is modified by the Generation schedule fraction (below).

Note: When the mass generation rate is available, the rate must be converted to a volume flow rate. Use the mass flow rate divided by the vapour density of the generic contaminant.

Generation schedule

Select the schedule that modifies the maximum design generation rate (Gf). This fraction between 0.0 and 1.0 is noted as FG in the above equation.

Cutoff concentration

Enter the contaminant cutoff concentration level where the source ceases its emission in ppm.

Decay Source

The 3-Decay source option allows you to specify the contaminant generation rate based on the decay source model. The basic equation used to calculate generic contaminant source for the decay source model is given below:

 

 

where:

 

Sf = Generic contaminant source strength [m3/s]

Gf = Initial generic contaminant generation rate [m3/s]

FG = Fraction value from the source fraction schedule at a given time [dimensionless]

t = Time since the start of emission [second]

tc = Decay time constant [second]

Initial emission rate

Enter the initial generic contaminant design emission rate (in m3/s in ft3/min). The generation is controlled by a schedule, as defined in the next field. Contaminant emission begins when the schedule changes from a zero to a non-zero value (between zero and one). The initial emission rate is equal to the schedule value times the initial generation rate.

Schedule

Select the schedule that modifies the maximum design emission rate (Gf). This fraction between 0.0 and 1.0 is noted as FG in the above equation. When the value is equal to 1, the generation rate is used and time is reset to zero. When the value is equal to zero, the schedule value is ignored in the equation.

Decay time constant

The decay time constant (in s) the time at which the generation rate reaches 0.37 of the original rate.

Note: The variable t, time since the start of emission, will be reset to zero, when a new run period starts, or the generation schedule value is equal to zero.

Deposition Rate Sink

The 4-Deposition rate sink option allows you to specify the generic contaminant removal rate from a zone. The object is equivalent to the deposition rate sink model defined in CONTAM 3.0 sources and sinks element types.

 

The deposition rate model provides for the input of a sinks' characteristic in the familiar term of deposition rate in a zone. The removal stops when the sink concentration level is higher than the zone air concentration level. The deposition rate model equation is:

 

 

Where:

 

Sf(t) = Removal rate at time t [m3/s]

kd = Deposition rate [1/T]

Vz = Zone volume [m3]

m = Element multiplier [dimensionless]

Cf(t) = Concentration of generic contaminant at the previous time step [ppm]

FR = Schedule or control signal value at time t [dimensionless]

Deposition Rate

This field specifies the deposition rate to the zone in the units of 1/s.

Schedule

Select the schedule that modifies the maximum design removal rate (Sf). This fraction between 0.0 and 1.0 is noted as FR in the above equation.