Airflow tab on Vents Dialog.
Enter the discharge coefficient for this vent component.
DesignBuilder applies a default of 0.5 for Opening type vents and 0.6 for Grill type vents.
You can select this vent from the Openings model data.
Note: The discharge coefficient is only used in thermal simulations when the Natural ventilation Model option is set to Calculated.
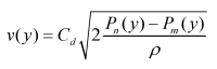
The velocity of the air moving through the vent is given by the standard orifice equation:
Where:
v: Velocity
Cd: Discharge coefficient
P: Pressure either side of the vent
ρ density of the air going through the opening